嘉言豪语

开始

总览

景区概况图

景区总览

北京上方山位于北京市房山区韩村河镇圣水峪,距市区约60公里,是以"山奇、林密、洞幽、寺古"为特征的山岳型自然风景区。 主峰中天之柱海拔860米,森林覆盖率超90%,保存有华北地区唯一的原始次生林。地质构造以石灰岩为主,形成九大洞穴体系。

自然地理图

自然地理

上方山系太行山余脉,总面积340公顷,主峰860米。石灰岩山体形成于奥陶纪,形成典型喀斯特地貌。年均气温8℃,降水600毫米。

地质景观图

地质景观

九大洞穴以云水洞为首,纵深超600米,108个景观包括高38米的“中天之柱”。摘星坨是最佳观星点,云梯由262级石阶组成。

植被资源图

植被资源

拥有625种植物,其中药用300种,一级古树51株。1500年柏树王直径达1.53米,“黄精、拐枣、香椿”被誉为“上方三宝”。

宗教文化图

宗教文化

东汉建寺,唐代形成七十二庵。兜率寺为核心,保有清代壁画和明代十八罗汉彩塑。现存47通碑刻,最早为1448年所立。

研究方案

背景

山地生态系统是陆地生态系统的重要组成部分,具有维持生物多样性、涵养水源、调节气候等关键生态功能。然而,受自然环境变化与人类活动干扰(如过度开发、植被退化等),山地植被生态系统常面临结构破坏、功能衰退等问题,亟需通过科学手段开展植被分布监测与生态修复研究。 北京上方山地区作为典型的山地区域,植被类型多样(含乔木、灌木、草本等),生态地位突出,但可能存在植被分布不均、局部生态脆弱等问题。

同时,该区域可能兼具生态保护与文旅开发的双重需求,需协调二者关系以实现可持续发展。 遥感技术(如多波段影像、植被指数)为大范围植被监测提供了高效手段,而面向对象分类(OOP)可通过多尺度分割与特征提取提升植被分类精度;随机森林回归分析则能有效挖掘植被分布与环境因子(如温度、湿度、地形等)的关联,为生态评估提供量化支持。 基于此,本研究结合遥感 OOP 分类与随机森林回归分析,聚焦上方山地区山地植被与生态修复,旨在为区域生态保护与可持续发展提供科学依据。

目的

明确山地植被分布特征:基于遥感 OOP 分类技术,精准识别上方山地区植被类型(乔木、灌木、草本、裸地等)及其空间分布规律。 揭示植被与环境因子的关联:通过随机森林回归分析,量化植被分布与关键环境因子(如 NDVI、温度、湿度、坡度、土壤水分等)的相关性,明确影响植被生长的主要因素。 评估生态修复潜力:结合植被分布与环境因子分析结果,划分生态修复优先级区域,为针对性开展生态修复工作提供参考。 兼顾文旅开发适宜性:在保护生态的前提下,评估区域文旅开发潜力,为平衡生态保护与经济发展提供决策支持。

思路

1. 数据准备:收集遥感多波段影像、植被指数、地形及实地温湿度数据,处理为标准化数据集。 2. 植被分类:基于遥感OOP方法,通过多尺度分割与特征提取,生成乔木、灌木、草本、裸地等植被类型分布图。 3. 关联分析:融合环境因子与实地数据,用随机森林回归建模,明确植被与温度、湿度、地形等因子的关联规律。 4. 潜力评估:结合植被分布与关联分析结果,划分生态修复优先级区域,评估文旅开发适宜性,输出两类潜力图。 5. 验证优化:通过实地采样验证结果,补充数据优化模型,形成最终方案。

成果展示
上方山植被群落分布图
特性相关矩阵
随机森林特征重要性分析
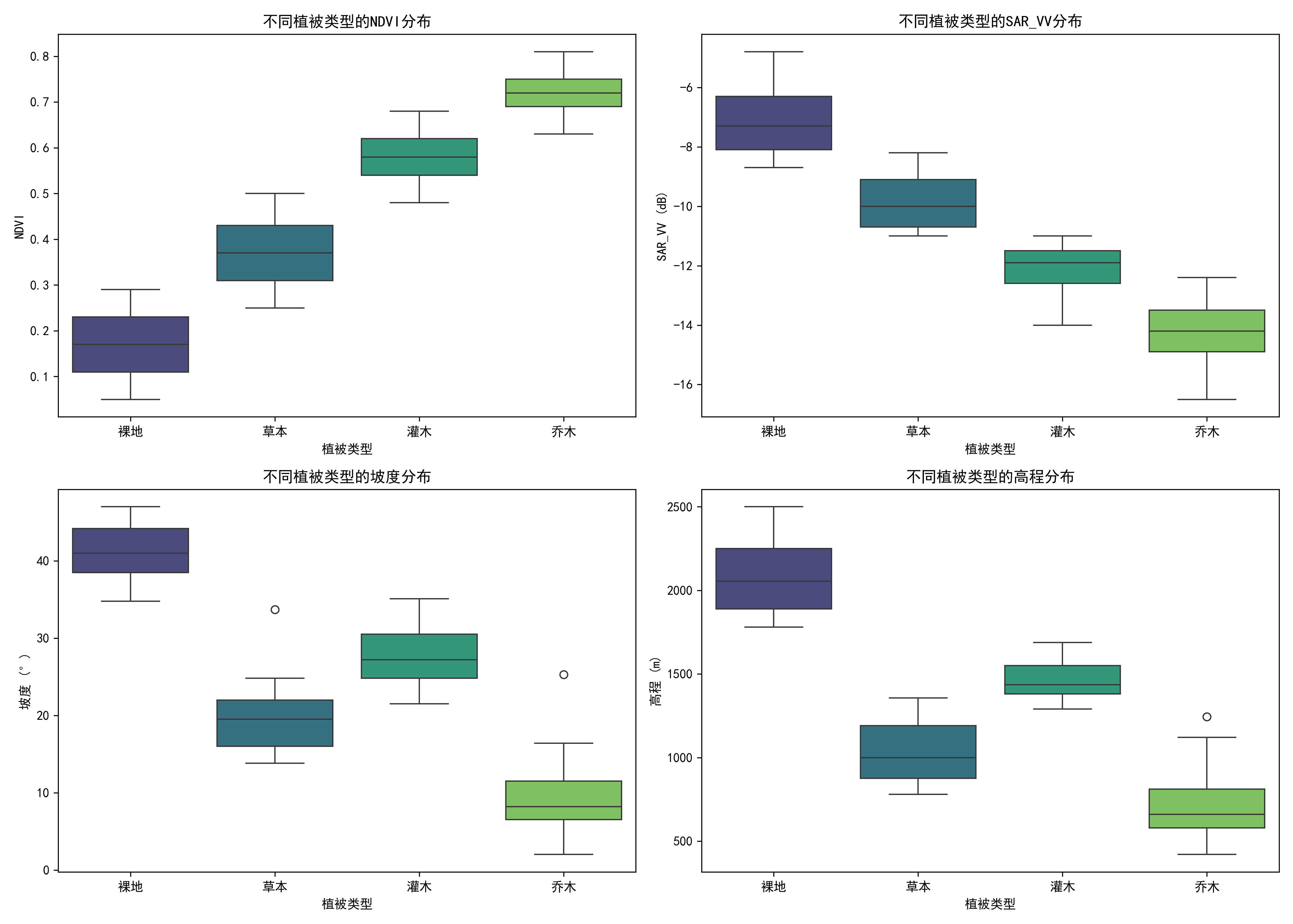
箱线图

风采一览

吕嘉豪

干事的驴

踏实勤奋、责任心强,总是任劳任怨地完成团队分工,是团队最可靠的组长,统筹安排所有分工,每天忙到深夜

刘乾煜

智慧的猴

思维敏捷、点子不断,是团队中的智囊,常常用巧妙的方法解决看似复杂的问题,不仅是团队的摄像师,还负责整个上方山实习的宣传拍摄

张宇晨

高大的鹿

2m大高个,稳重踏实,做事有条不紊,担任团队的安保成员与好用劳动力

范婷婷

温和的猫

性格温和细腻,擅长沟通与协调,是团队中不可或缺的润滑剂与支持者,同时也是团队的二号摄影师。

薛景月

可爱的兔

充满活力与创意,总能为团队带来新鲜灵感与温暖气氛,是快乐的源泉,同时也是小组干活的二号手,负责全局

彭坚

冷静的马

冷静理性、判断精准,在关键时刻总能沉着应对,是团队的安全保障员,主要负责前端网页的搭建