Document

基于深度学习的上方山区域不同降水强度下的滑坡易发性分析

本研究通过分析上方山地区在不同降水量条件下的地质变化,评估滑坡发生的风险概率, 为地质灾害预警提供科学依据。我们采用多源数据融合和机器学习方法,建立了区域滑坡易发性评价模型。

研究背景

实验流程图与关键步骤

点击右侧卡片可查看关键步骤详情

实验概括图示

滑坡因子选择

+

选择滑坡敏感度因子,为滑坡易发性分级提供参考标准。

滑坡敏感度因子的选择原则:
1.有理论依据:基于滑坡形成机理;
2.可进行空间表达:因子能量化为空间图层
3.有代表性:可反映区域主要为滑坡触发机制。

  • 地形因子:坡度坡向
  • 地质因子:岩性、断层距离
  • 水文因子:年均降水、极端降水
  • 植被因子:NDVI、覆盖等级
  • 人类因子:道路密度、工程扰动指数

数据采集与预处理

+

研究需要收集上方山区域的地形数据、地质数据、气象数据植被数据以及人类活动数据等多源数据。通过GIS软件进行数据清洗、格式转换和空间配准,确保数据质量和一致性。

预处理步骤包括:数据归一化、缺失值处理、异常值检测等,为后续分析提供高质量的数据基础。

模型训练

+

我们计划采用2种机器学习模型以及2种深度学习模型进行对比分析:

  1. 机器学习模型 —— 支持向量机SVM
  2. 机器学习模型 —— 人工学习网络ANN
  3. 深度学习模型 —— 循环神经网络RNN
  4. 深度学习模型 —— 长短期记忆网络LSTM

易发性图生成

+

基于模型预测结果,生成上方山区域的滑坡易发性图:

  • 上方山汛期(7月)滑坡易发性图
  • 不同降水量下上方山滑坡易发性图
  • 在网页中可视化输出可交互查询的立体图像

实验内容

我们综合考虑了滑坡因子的选取原则以及上方山地区的地形地貌特性,选取了地形、水文、植被、人类四大主要因子类型。并将根据因子类型进行数据收集、采集和预处理。

滑坡因子示意图

现有数据收集与整理

我们依据选取的滑坡因子,收集了已有的相关数据。

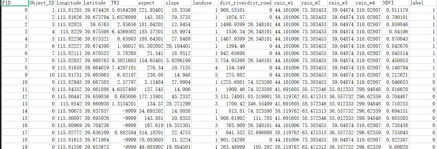
主要包括坡度坡向数据、地形湿度指数(TWI)、地形位置指数(TPI)、与河流距离、与道路距离、NDVI、土地利用类型以及上方山七月份各周的气象数据。

数据样本1 数据样本2 数据样本3 数据样本4 数据样本5 数据样本6 数据样本7 数据样本8 样本数据9
实地滑坡点数据

实地数据采集

同时我们还在实地采集了部分沿步道滑坡点数据,相关数据如右图所示。

数据处理流程图

数据预处理

我们对使用ARCGIS对样本点进行因子数据提取。其中Label为1的是滑坡点数据,为0的是非滑坡点数据。

我们使用同样的样本点数据对模型进行训练,下图从左到右分别为ANN、SVM、RNN、LSTM对应的滑坡易发性图像。

模型选择示意图

我们对四种模型进行精度评价。这些模型在滑坡易发性分析中都表现出了良好的性能,但LSTM模型表现略优,显示出其在分类任务中的潜力。同时,数据的表达方式对模型性能有显著影响,因子中7月四周降水数据能够更好地利用LSTM模型记忆长期信息的优势。

模型评价示意图

于是我们为了获得不同降水量下的滑坡易发性图像,对LSTM在设置不同降水特征权重系数下进行训练。

模型选择示意图

利用LSTM模型,依据中国气象局发布的降雨量等级,我们模拟了 6种不同强度的降雨情景,分别为小雨、中雨、大雨、暴雨、大暴雨和特大暴雨,并且可视化了相同静态环境下滑坡概率的空间分布。点击下列标签可查看对应等级和时间的上方山滑坡易发性图像。

结果显示,随着降雨量的增大,高风险区域显著扩展,特别是在 TWI 较高和坡度较陡的地带,表现出高度敏感性。

  • 小雨
  • 中雨
  • 大雨
  • 暴雨
  • 大暴雨
  • 特大暴雨
  • 七月份易发性图
请选择上方的标签查看图像

请选择标签以显示图像

JJ20

成员介绍

在这次野外实习中,我们团队收获了宝贵的实践经验

通过紧密合作,增强了团队精神和解决问题的能力,同时也加深了彼此间的友谊和相互理解

JJ20
JJ20
陈家乐头像

陈家乐

负责:

数据采集处理

JJ20
严斌熠头像

严斌熠

负责:

模型构建与分析

JJ20
钮鑫睿头像

钮鑫睿

负责:

资料整理,报告撰写

JJ20
吴畅头像

吴畅

负责:

网站搭建

JJ20
 明芯茹头像

明芯茹

负责:

模型构建与分析

JJ20
吴晓蓓头像

吴晓蓓

负责:

网站搭建