上方山国家森林公园,位于北京市房山区韩村河镇,总面积329.3公顷, 景区总面积3.53平方公里,拥有华北地区唯一保存完好的原始次生林。 进行上方山区域地质灾害研究对于上方山地质灾害预测、评估和防范具有重要意义。 上方山拥有中国北方特有的喀斯特地貌,峰、谷、洞、坑、崖等地质遗迹丰富。 喀斯特地貌区,地表崎岖不平,多地震、崩塌、滑坡、泥石流等地质灾害。 上方山地区为典型的北温带半湿润大陆性季风气候,夏季强降水频发,更增加了夏季地质灾害发生风险。

影响因子可视化

影响因子专题图
滑坡

研究背景

造成崩滑流发生的影响因子种类繁多、 影响方式各异, 按力学状态可分为使强度降低的因素和使下滑力增加的因素。 崩滑流地质灾害一般发生地质灾害的类型多以崩滑流为主, 从整体上看其分布具有不均匀性,而从局部看又有着集中性、群发性的特点。 近些年来,随着气候环境的变化,以及人类活动范围和强度的扩大, 上方山地区面临着越来越严重的地质灾害风险,给人民生命安全和社会经济带来严重的威胁。 因此,对上方山地区崩滑流地质灾害进行风险性评价显得尤为重要。

分析结果展示

崩塌、滑坡、泥石流易发区域展示

通过对上方山地质灾害易发地点的评估预测, 提高对于灾害风险的防范。以专题地图的形式分别展示崩塌、滑坡、 泥石流的易发地点评估结果,提出防治建议。

collapse
landslide
debrisflow

地质灾害动态演示

崩塌

滑坡

泥石流

研究方法模型

层次分析法

层次分析法(Analytic Hierarchy Process,简称 AHP) 是将某一事件按照目标层、准则层和方案层的上下关系,通过 判断矩阵求最大特征值的方法逐层比较各个元素的重要性,确 定各个元素的权重来为分析以及最终的决策提供定量的依据。

Logistic-回归模型

Logistic-回归模型是评价因子(自变量)和地质灾害是否发生 (因变量)之间通过函数表达式建立一定的关系,来预测某一区域 灾害发生的概率,是地质灾害易发性分析中最常用的方法之一,是 应用比较广泛的表示因变量与多个自变量关系的非线性多元统计模型。

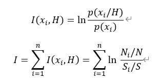
信息量模型

信息量法通过确定影响因子所贡献的信息 量的大小与综合水平来进行相应区域易发性 预测与等级划分,其核心是计算与比较各个影 响因子对于研究区灾害发生所贡献的信息量的大小。

第十一组

团队成员